ここから本文です。
平成16年全国消費実態調査 用語の解説
目次
1 世帯に関する事項
1-1.世帯及び世帯主の定義
この調査では,世帯を二人以上の世帯と単身世帯とに分けている。この両者を合わせたものを総世帯という。
二人以上の世帯とは,住居及び生計を共にしている二人以上の人の集まりをいい,単身世帯とは,一人で1戸を構えて暮らしている人,間借りして一人で暮らしている人,寮・寄宿舎,下宿屋に住んでいる単身者一人一人をいう。
また,世帯主とは,名目上の世帯主ではなく,その世帯の家計の主たる収入を得ている人をいう。
| 総世帯 | 二人以上の世帯 | 住居及び生計を共にしている二人以上の人の集まり |
|---|---|---|
| 単身世帯 | 一人で1戸を構えて暮らしている人,間借りして一人で暮らしている人,寮・寄宿舎,下宿屋に住んでいる単身者一人一人 |
1-2.世帯人員,有業人員
世帯人員には,世帯主とその家族のほかに,住居と生計を共にしている家事使用人,住み込みの営業上の使用人などを含める。しかし,別居している家族及び同居していても生計を異にしている者は含めない。
有業人員とは,世帯員のうち勤め先のあるもの,自営業主,家族従業者,内職従事者などの人数で,家事使用人及び住み込みの営業上の使用人は含めない。
1-3.全世帯,勤労者世帯,勤労者以外の世帯
この調査では,世帯を勤労者世帯と勤労者以外の世帯とに分けている。この両者を合わせたものを全世帯という。
勤労者世帯とは,世帯主が会社,官公庁,学校,工場,商店などに雇用されている世帯をいい,勤労者以外の世帯とは,勤労者世帯を除いた世帯をいう。ただし,世帯主が社長,取締役,理事など会社・団体の役員である世帯は,勤労者以外の世帯とする。
| 全世帯 | 勤労者世帯 | 世帯主が会社,官公庁,学校,工場,商店などに雇用されている世帯 |
|---|---|---|
| 勤労者以外の世帯 | 個人営業世帯や自由業者世帯,無職世帯など |
なお,世帯に関する属性については,平成16年9月1日現在(単身世帯は10月1日現在)で調査したが,集計の段階で変更のあったものについてはその時期により10月1日現在,11月1日現在で確定した。
世帯の区分についての詳細は,「付5.全国消費実態調査職業分類表」に示すとおりである。
1-4.世帯主の職業
この調査では,日本標準職業分類によらず,産業や従業上の地位も加味した独自の職業分類を用いている。
詳しくは,「付5.全国消費実態調査職業分類表」に示すとおりである。
1-5.世帯類型
世帯類型は,世帯主を中心とした世帯員の続き柄により世帯を分類したもので,大きく「核家族世帯」,「夫婦とその親の世帯」,「夫婦と子供と親の世帯」の3種類に分類している。なお,「核家族世帯」とは夫婦のみの世帯及び夫婦又は男親又は女親と未婚の子供で構成される世帯で,子供については,子供の数及び長子の就学状態,年齢により世帯を分類している。
1-6.有業形態
世帯主,その配偶者及びその他の世帯員が働いているかどうかによる世帯の分類である。
2 集計世帯数,特定世帯及び高齢者世帯
2-1.集計世帯数,世帯数分布(抽出率調整),1万分比
集計世帯数とは,実際に集計に用いた世帯数のことをいい,世帯数分布(抽出率調整)とは,抽出率の逆数に比例した調整係数を集計世帯数に乗じて得た世帯数である。(抽出率は調査市町村ごとに異なる。)
また,平成16年調査の単身世帯の世帯数分布(抽出率調整)は,調整係数及び比推定比(労働力調査の結果に基づき,地方,男女,年齢階級別に調査世帯の属性分布の偏りを補正する係数)を集計世帯数に乗じたものとした。
なお,家計収支の結果の集計においては,集計世帯ごとに調査月数を調整して集計した。
1万分比とは,世帯数分布(抽出率調整)の合計を10,000とした世帯数の分布をいう。
なお,「世帯分布編」では,世帯数分布(抽出率調整)の合計を100,000とした世帯数分布,すなわち10万分比で示している。
2-2.特定世帯
今回の調査では,以下の世帯を特定世帯として集計した。
- (1) 夫婦共働き世帯
- 勤労者世帯のうち,世帯主とその配偶者が就業している世帯。ただし,農林漁業収入のある世帯は除いている。
- (2) 無職世帯
- 世帯主が無職である世帯
- (3) 母子世帯
- 母親と18歳未満の未婚の子供の世帯
- (4) 住宅ローンのある世帯,住宅ローンのない世帯
- 平成16年11月末日現在で1万円以上の住宅・土地のための借入金残高のある世帯と,持ち家世帯で住宅・土地のための借入金残高のない世帯
- (5) 借家・借間世帯
- 居住している住居が借家又は借間の世帯
- (6) 夫婦と未婚の子供のみの世帯で世帯主のみが有業者の世帯
- 勤労者世帯のうち夫婦と子供がいる世帯で,世帯主のみが就業している世帯
- (7) 夫婦のみ又は世帯主夫婦と未婚の子供のみの世帯
- (8) その他の世帯
- 仕事を探している非就業者のいる世帯,大学生のいる世帯,自動車保有世帯,家族に要介護認定者のいる世帯及び非同居家族のいる世帯
2-3.高齢者世帯
今回の調査では,以下の世帯を高齢者世帯として集計した。
- (1) 年金・恩給等を受給している世帯
- 公的年金・恩給を受給している世帯。なお,家計を賄う主な収入の種類が公的年金・恩給である世帯,企業年金・個人年金を受給している世帯及び家計を賄う主な収入の種類が企業年金・個人年金である世帯についても併せて掲載している。
- (2) 高齢者のいる世帯
- 世帯主を含む世帯員のうち,65歳以上で就業していない世帯員がいる世帯。なお,高齢者夫婦世帯(夫65歳以上,妻60歳以上の夫婦のみの世帯),夫婦高齢者世帯(65歳以上の夫婦のみの世帯)及び夫婦のみの世帯で夫の年齢が60歳以上の世帯についても併せて掲載している。
3 地域に関する事項
3-1.都市階級
都市階級は,平成12年国勢調査結果による市町村の人口規模によって分類している。
ただし,市町村の名称は,平成16年1月1日現在によった。
| 大都市 | 政令指定都市(札幌市,仙台市,さいたま市,千葉市,横浜市,川崎市,名古屋市,京都市,大阪市,神戸市,広島市,北九州市,福岡市)及び東京都区部 |
|---|---|
| 中都市 | 人口15万以上100万未満の市(大都市を除く。)(132市) |
| 小都市A | 人口5万以上15万未満の市(304市) |
| 小都市B | 人口5万未満の市(230市) |
| 町村 | (458町村) |
| 人口5万以上の市 | 大都市,中都市,小都市Aに含まれる市をまとめたもの(450市) |
| 全都市 | 人口5万以上の市に小都市Bを含めたもの(680市) |
3-2.地方
地方は,都道府県を単位として次の10区分に分類している。
| 北海道地方 | 北海道 |
|---|---|
| 東北地方 | 青森県,岩手県,宮城県,秋田県,山形県,福島県 |
| 関東地方 | 茨城県,栃木県,群馬県,埼玉県,千葉県,東京都,神奈川県,山梨県,長野県 |
| 北陸地方 | 新潟県,富山県,石川県,福井県 |
| 東海地方 | 岐阜県,静岡県,愛知県,三重県 |
| 近畿地方 | 滋賀県,京都府,大阪府,兵庫県,奈良県,和歌山県 |
| 中国地方 | 鳥取県,島根県,岡山県,広島県,山口県 |
| 四国地方 | 徳島県,香川県,愛媛県,高知県 |
| 九州地方 | 福岡県,佐賀県,長崎県,熊本県,大分県,宮崎県,鹿児島県 |
| 沖縄地方 | 沖縄県 |
3-3.大都市圏
大都市圏とは,政令指定都市及び東京都区部を「中心市」として,中心市と社会的,経済的に結合している「周辺市町村」によって構成される地域のことで,さいたま市,千葉市,東京都区部,横浜市及び川崎市を中心とする関東大都市圏,名古屋市を中心市とする中京大都市圏,京都市,大阪市及び神戸市を中心市とする京阪神大都市圏,北九州市及び福岡市を中心市とする北九州・福岡大都市圏の4大都市圏について集計している。
大都市圏の設定に当たっては,平成12年国勢調査の基準に基づいており,その設定基準は以下のとおりである。
(1) 「中心市」は,政令指定都市及び東京都区部とする。
(2) 「周辺市町村」は,「中心市」への15歳以上通勤・通学者数の割合が各市町村の人口の1.5%以上であり,かつ「中心市」と連接している市町村とする。
ただし,「中心市」への15歳以上通勤・通学者数の割合が1.5%未満のものであっても,その周囲が「周辺市町村」の基準に適合した市町村によって囲まれている場合,その内側にある市町村も「周辺市町村」とする。
(3) 「中心市」が互いに接近している場合は,それぞれについて「大都市圏」を設定せず,その地域を統合して一つの「大都市圏」とする。
なお,「3大都市圏」とは,上記4大都市圏のうち,関東,中京及び京阪神の各大都市圏をまとめたものをいう。
各大都市圏に含まれる調査市町村については,「付8.大都市圏に含まれる調査市町村」に示すとおりである。
3-4.県内経済圏
都道府県よりも更に小さい地域区分で家計に関する詳細な資料が得られるように,全国消費実態調査独自に設定している地域区分で,各都道府県ごとに市区町村を幾つかのブロックにまとめて設定している。
各県内経済圏に含まれる調査市区町村については,「付10.調査市区町村別調査世帯数及び集計世帯数」に示すとおりである。
4 階級区分
4-1.年間収入階級
年間収入階級は,「年収・貯蓄等調査票」により調査した年間収入(平成15年12月から平成16年11月までの1年間の収入総額)に基づいている。なお,年間収入が不詳の世帯については,世帯主の職業,消費支出額,世帯主の年齢,有業人員により年間収入を推計した。ただし,「主要耐久消費財編」及び「貯蓄・負債編」の年間収入階級は,年間収入の推計は行わず,不詳のまま集計した。
また,勤労者世帯で用いる現金実収入階級,世帯主の定期収入階級などの月間の収入階級については,二人以上の世帯では「家計簿」に記入された当該項目の9月〜11月の3か月平均を使用している。
4-2.年間収入十分位,五分位階級及び四分位数(中位数)
年間収入十分位階級とは,世帯を収入の低い方から高い方へ順に並べ10等分した十のグループのことで,収入の低い方から順に第I,第II,第III,・・・,第X十分位階級という。
また,年間収入五分位階級とは,年間収入十分位階級の第I階級と第II階級,第III階級と第IV階級というように階級を二つずつまとめて1階級としたもので,収入の低い方から順に第I,第II,・・・,第V五分位階級という。
四分位数とは,当該項目の低い世帯から高い世帯へと順に並べ,世帯を4等分したときの各グループの境界値で,小さい方から第1,第2,第3四分位数という。なお,第2四分位数を,特に中位数という。
4-3.現在高階級
貯蓄現在高階級,負債現在高階級及び住宅ローン残高階級は,「年収・貯蓄等調査票」により調査した結果に基づいている。
5 住居の属性と分類
5-1.住居の所有関係
住居の所有関係のうち,「民営借家(設備専用)」とは,世帯が不動産会社や個人から住宅を借りている場合で,炊事用流し及びトイレが専用となっている住宅をいう。
また,「給与住宅」とは,勤め先の会社,官公庁又は団体等が従業員のために所有又は管理している(借り上げも含む。)住宅をいい,そのうち,会社の独身寮など,単身者の集まりが居住するために建てられたものを「寮・寄宿舎」という。
5-2.住居の建て方
住居の建て方のうち,「共同住宅」とは,1棟の中に二つ以上の住宅があり,廊下,階段などを共用しているものや,二つ以上の住宅を重ねて建てたものをいう。
5-3.住居の延べ床面積
住宅の延べ床面積とは,その住宅及び住宅に附属する離れの延べ床面積をいう。ただし,アパート,社宅などの共同住宅で,廊下や台所,トイレなどを共用している場合は,共用部分を除き世帯が専用に使っている部分の延べ床面積をいう。
なお,業務用の部分,例えば事務室や店舗などの部分は含めない。
5-4.宅地面積
宅地面積とは住宅が建っている土地(敷地),現在は空地や畑などであるが,登記簿上「宅地」となっている土地及び登記簿上は,山林,原野,農地であるが,将来住宅建築を目的として所有している土地の面積をいう。
6 収支バランス
6-1.収入と支出
収入と支出に分類される項目を大別すると,次のとおりである。
収入は,勤め先収入や事業収入,内職収入,財産収入,社会保障給付など実質的に資産の増加となる収入を集めた「実収入」,預貯金引出,有価証券売却などの資産の減少,あるいは借入金,月賦など負債の増加となる収入を集めた「実収入以外の収入」及び月初めの手持ち現金残高である「繰入金」に分類される。
支出は,いわゆる生活費である「消費支出」,税金,社会保険料などの支出を集めた「非消費支出」(「消費支出」と「非消費支出」を合わせて「実支出」という。),預貯金,借金返済など資産の増加あるいは負債の減少となる支出を集めた「実支出以外の支出」及び月末の手持ち現金残高である「繰越金」に分類される。
なお,各収支項目の詳しい内容は,「付1.収支項目分類表」に示すとおりである。
以上の収支項目の構成を表で示すと,次のとおりである。
| 収入 | 支出 |
|---|---|
| 収入総額 = 支出総額 | |
| 実収入 実収入以外の収入 繰入金 |
実支出 消費支出 非消費支出 実支出以外の支出 繰越金 |
6-2.移転収入,移転支出
移転収入は「受贈金」+「仕送り金」,移転支出は「贈与金」+「仕送り金」を再集計したものである。
6-3.現金と現物
家計の収入と支出は,それぞれ現金と現物に分けて集計される。統計表では,現金の収入と支出は詳しい分類で示し,現物収支はその総額のみを掲げている。なお,現物については,外部からのもらい物を現物収入(もらい物)と現物支出(もらい物)が同時にあったものとしてそれぞれに分類している。
なお,昭和59年調査までは現物収支に現物支給,自家産,店の商品を含めていた。また,昭和44年,昭和49年の調査では,現物収入及び現物支出に持ち家の帰属家賃を算入していたが,昭和54年以降の調査では含めていない。
6-4.月賦と掛買い
月賦又は掛買いで商品を購入した場合は,次のような方法で集計した。
例えば,8万円のカラーテレビを10か月月賦で購入し,第1回の支払い8,000円とともにカラーテレビを受け取った場合,その月の「実収入以外の収入」のうちの「分割払・一括払購入借入金」に8万円を計上し(負債の増加),同時にその月の「消費支出」のうちの「教養娯楽用耐久財」,すなわちカラーテレビの支出として8万円を計上する。そして第1回の払い込み額8,000円は,「実支出以外の支出」のうち,「分割払・一括払購入借入金返済」に支出として計上する(負債の減少)。第2回目以降の払い込みは,「分割払・一括払購入借入金返済」にだけ支出として毎月計上する。また,掛買いの場合も,月賦の処理と同様な方法で集計している。
7 支出分類
7-1.品目分類と用途分類
消費支出は,品目分類と用途分類の2体系の分類を用いて集計している。
品目分類は,世帯が購入したものを,同一商品は同一項目に分類する方法で,用途分類は,世帯が購入したもののうち,世帯以外の人のために贈答又は接待を目的として購入したものについては「交際費」として分類し,その他のものについては,品目分類で分類する方法である。
例えば,菓子を贈答用に購入した場合,品目分類では,「食料」のうちの「菓子」に分類されるが,用途分類では,「その他の消費支出」のうちの「交際費」に分類される。このように,用途分類では,交際費として支出した品目を「交際費」に組み替えて集計しているため,品目分類と用途分類の各項目の結果のくい違いは,交際費として支出した分のみ生じており,消費支出の合計は,両分類で一致する。
なお,収支項目分類については,「付1.収支項目分類表」に示すとおりである。
7-2.費目分類
昭和59年調査から消費支出の分類を,昭和34年から昭和54年調査まで用いてきた五大費目分類から十大費目分類に改正した。
十大費目分類は,消費の目的,すなわち,使途の類似性により消費支出を食料,住居,光熱・水道,家具・家事用品,被服及び履物,保健医療,交通・通信,教育,教養娯楽及びその他の消費支出の10区分に分類したものである。
7-3.教育関係費
教育のほか,食料の中の学校給食,被服及び履物の中の学校制服,交通・通信の中の通学定期代など教育に直接的・間接的に必要とされる経費を品目分類により再集計したものである。
教育関係費の詳細については,「付4.教育関係費及び教養娯楽関係費分類項目一覧」に示すとおりである。
7-4.教養娯楽関係費
いわゆるレジャー関係費をとらえる目的で集計したもので,教養娯楽のほかに,交通・通信の中の鉄道運賃,バス代,航空運賃などを品目分類により再集計したものである。なお,昭和44年,49年の調査では,外食費の中のレジャー外食,喫茶外食等を含めていた。
教養娯楽関係費の詳細については,「付4.教育関係費及び教養娯楽関係費分類項目一覧」に示すとおりである。
7-5.情報通信関係費
固定電話通信料,移動電話通信料,NHK放送受信料(BSを含む),ケーブルテレビ受信料,他の受信料を再集計したものである。
7-6.経常消費支出
サンプルの少ない地域あるいは特定世帯グループについての分析を安定した計数で行えるようにするため,購入金額が高く,購入回数が少ない品目(例えば,自動車購入,電気製品購入)を除いた日常的支出の水準を集計したものである。
経常消費支出として集計した項目については,「付1.収支項目分類表」に示すとおりである。
7-7.財・サービス区分
財・サービス区分は,消費支出を品目分類の結果により商品とサービスに再分類して集計したものである。商品については,さらに,購入した品物が家計におけるストックの要素を持つものなのか,フローの要素を持つものなのかにより,耐久財,半耐久財及び非耐久財の3区分に分類している。
なお,この分類の消費支出には,「こづかい(使途不明)」,「贈与金」,「他の交際費(つきあい費,負担費)」及び「仕送り金」は含まれていない。
各品目を耐久財,半耐久財,非耐久財及びサービスのいずれに区分したかについては,「付1.収支項目分類表」に示すとおりである。
8 持ち家の帰属家賃
持ち家の帰属家賃とは,実際には家賃の受払いを伴わない自己所有住宅(持ち家住宅)についても,通常の借家や借間と同様のサービスが生産され,消費されるものと仮定して,それを一般市場価格で評価したものである。
持ち家の帰属家賃の推計方法
持ち家の帰属家賃の推計に当たっては,まず,平成15年10月に実施された住宅・土地統計調査の民営借家(設備専用)の個別データを用いて,全国を4ブロック[東京都,関東3県(埼玉県,千葉県,神奈川県),近畿3府県(京都府,大阪府,兵庫県),その他の道県](推計地域区分)に分け,それぞれについて,住宅の建て方,建築時期,延べ床面積を説明変数とする家賃関数を仮定して,回帰計算(最小二乗法)により係数を決定した。
回帰式

| i | 各ブロック |
| y | 1か月の家賃(円) |
| xj | 住宅の属性(住宅の建て方など)及び地域区分を表すダミー変数 |
| S | 述べ床面積(平方メートル) ※業務用面積を除いた面積 |
| ai ,bij ,ci | 係数 |
次に,全国消費実態調査の調査世帯のうち持ち家世帯について,上記で決定した家賃関数に個々の世帯の住宅に関する情報を当てはめて得られる値に,消費者物価指数の全国の「民営家賃」の平成16年10月(全国消費実態調査実施時)の指数値と平成15年10月(住宅・土地統計調査実施時)の指数値の比を乗じた推計値をもって,当該世帯の持ち家の帰属家賃とした。
9 貯蓄・負債現在高
9-1.貯蓄・負債の範囲と内容
貯蓄現在高とは,郵便局・銀行・その他の金融機関への預貯金,生命保険・積立型損害保険の掛金,株式・債券・投資信託・金銭信託等の有価証券と社内預金等のその他の貯蓄の合計をいう。
貯蓄現在高は,生命保険及び積立型損害保険については加入してからの掛金の払込み総額により,また,株式及び投資信託については時価より,債券及び貸付信託・金銭信託については額面によった。
なお,平成元年調査から貯蓄に積立型損害保険を,平成6年調査から金投資口座・金貯蓄口座を含めた。
負債現在高とは,郵便局,銀行,生命保険会社・住宅金融公庫などの金融機関からの借入金のほか,勤め先の会社・共済組合,親戚・知人からの借入金及び月賦・年賦の残高など金融機関外からの借入金の合計をいう。
| 貯蓄・負債としたもの | 貯蓄・負債としないもの |
|---|---|
| ・ 世帯主及びその家族の分 ・ 個人営業のための分 |
・ 同居人及び使用人の分 ・ 現金のまま保有しているいわゆるタンス預金 ・ 知人等への貸金 |
なお,貯蓄現在高及び負債現在高は,平成16年11月末日現在で,「年収・貯蓄等調査票」により調査した結果に基づいている。 「家計収支編」の結果で表章している貯蓄・負債現在高及び保有率と,「貯蓄・負債編」の結果で表章している貯蓄・負債現在高及び保有率とは必ずしも一致しない。 これは,「貯蓄・負債編」の「貯蓄・負債現在高と保有率」を集計する際には,有効な「年収・貯蓄等調査票」を提出したすべての世帯について集計したが, 「家計収支編」の結果を集計する際には,家計簿を提出しなかった世帯は集計から除外したためである。 「家計資産編」と「家計収支編」,「貯蓄・負債編」との結果が必ずしも一致しないのも同様の理由である。
9-2 貯蓄・負債の内容及び注意事項
| 項目 | 内容及び注意事項 | ||
|---|---|---|---|
| 貯蓄 | 通貨性預貯金 | 郵便局 | ・ 出し入れの自由な通常預金 |
| 銀行など | ・ 期間の定めがなく,出し入れ自由なもの ・ 普通預金,当座預金,通知預金,納税準備預金など |
||
| 定期性預貯金 | 郵便局 | ・ 6か月以上の一定期間預け入れておくもの ・ 定額郵便貯金,定期郵便貯金,積立郵便貯金,教育積立郵便貯金,住宅積立郵便貯金など |
|
| 銀行など | ・ 1か月以上の一定期間預け入れておくもの ・ 定期預金,積立定期預金,定期積金など |
||
| 生命保険など | 生命保険 | ・ 生命保険会社の養老保険,こども保険,年金保険など,及び農業協同組合のこども共済,養老生命共済などの払込総額 ・ 掛け捨ての保険は含めない。 |
|
| 損害保険 | ・ 火災保険,傷害保険のうち,満期時に満期返戻金が支払われる長期総合保険,積立生活総合保険などの払込総額 ・ 掛け捨ての保険は含めない。 |
||
| 簡易保険 | ・ 郵便局で取り扱っている養老保険,終身保険,学資保険などの払込総額 | ||
| 株式・株式投資信託 | ・ 平成16年11月末日現在の時価で見積もった額 | ||
| 債券,公社債投資信託 | ・ 国債,地方債,公社・公団債,金融債,事業債など ・ 学校債,農地被買収者国庫債は含めない。 |
||
| 貸付信託,金融信託 | ・ 信託銀行に信託して運用する貸付信託,金銭信託 | ||
| その他(社内預金など) | ・ 銀行の「金投資口座」,証券会社の「金貯蓄口座」など,金融機関で上記以外の貯蓄 ・ 社内預金,勤め先の共済組合,互助会など金融機関外への預貯金など |
||
| 負債 | 住宅・土地のための負債 | ・ 住宅を購入,新築あるいは増改築したり,土地を購入するために借金した場合又は割賦で住宅・土地の購入代金を支払っている場合の未払残高 | |
| その他の負債 | ・ 生活に必要な資金,個人事業に必要な開業資金,運転資金などを借り入れた場合の未払残高 | ||
| 月賦・年賦 | ・ 月賦販売店などへの月賦・年賦未払残高 | ||
10 主要耐久消費財
10-1.耐久消費財の範囲
| 耐久消費財に含めるもの | 耐久消費財に含めないもの |
|---|---|
| ・ 家計用として使っているもの ・ 別荘などにあるもの ・ 他人に貸してあるもの又は預けてあるもの ・ 中古で購入したもの及び他人からもらったもの ・ ステレオ,家具などで手製のもの ・ 現品を入手していないが購入契約済の品物 |
・ 営業用のもの ・ 家計用と営業用で共用し,主として営業用に使っているもの ・ 他人から借りているもの又は預かっているもの ・ 故障,破損などのため,使用できないもの ・ 使い古しなどで,今後使用する見込みのないもの ・ 遊学中の子供,出稼ぎの人などの家族が長期間持ち出しているもの |
10-2.内容に注意を要する品目
| 品目 | 内容 |
|---|---|
| システムキッチン | ・ 部屋の大きさや使い勝手に応じて自由に組み合わせることができるキッチンセット ・ 流し台,ガス台(又は電磁調理器),調理台の3点セット以上のもの |
| 給湯器 (ガス瞬間湯沸器を除く) |
・ 大量給湯能力を持ち,常時タンク内に一定量の熱湯が貯められるもので,一定の温度になると点火及び消火するもの ・ 熱源(太陽,電気,ガスなど)は問わない。 |
| 洗髪洗面化粧台 | ・ 洗面台,鏡,照明,ミラーボックスなどで構成され,洗髪ができる洗面台 |
| 温水洗浄便座 | ・ 洗浄用の温水が出て,腰をかける部分が保温できる便座 ・ 乾燥,脱臭機能がついているものも含む。 |
| 冷蔵庫 | ・ 冷蔵室と冷凍室があるもの ・ 冷蔵室のみ又は冷凍室のみのものは含めない。 |
| 洗濯機 | ・ 乾燥機能付洗濯機,ドラム式洗濯機も含む。 |
| DVDレコーダー | ・ DVDへの録画機能が付いたもの ・ パソコンでDVD機能が付いているものは,パソコンに含める。 |
| プラズマテレビ 液晶テレビ |
・ 従来のブラウン管型画面ではなく,プラズマディスプレイ又は液晶ディスプレイを使用したテレビ ・ カラーテレビには含めない。 |
| ビデオカメラ (デジタルを含む) |
・ 記録方式(デジタル,8ミリ,VHS,S-VHSなど)は問わない。 ・ 動く映像を短時間録画できる機能が付いたデジタルスチルカメラは ,カメラに含める。 |
| カメラ (デジタルカメラを含む) |
・ 一眼レフ,コンパクトカメラ,APSカメラ,デジタルスチルカメラなど ・ 使い捨てのカメラは含めない。 ・ カメラ付き携帯電話は,携帯電話に含める。 |
| パソコン | ・ 手のひらサイズのパームトップ型は含まない。 |
| ユニット家具 (購入価格が20万円以上) |
・ 可動家具と作り付け家具の両方の要素を兼ね備えた家具で,ベッド,机,戸棚類などの寸法が統一されており,用途や部屋の大きさにより組み合わせが自由にできるもの |
| ベッド・ソファーベッド (作り付けを除く) |
・ 2段ベッドは一つとして数える。 ・ ベビーベッドは含めない。 |
| じゅうたん (5万円以上のもの) |
・ 敷物,壁掛けを問わず,購入価格が5万円以上のもの |
| 自動炊飯器 (遠赤釜 IH型) |
・ 遠赤釜は遠赤外線により飯を炊き上げる炊飯器 ・ IH型とは磁力線によって内釜そのものが発熱する炊飯器 |
| ステレオセット 又は CD・MDラジオカセット |
・ ステレオセット(コンポ)とは,レコードプレーヤーやCDプレーヤー,アンプ,スピーカーの装置を備え,ステレオ演奏ができるもの ・ カーステレオは含めない。 ・ CD・MDラジオカセットは,CDプレーヤーの機能が付いたラジオカセットをいう。カセットの代わりにMDプレーヤーが付いたものも含める。 |
| ファクシミリ (コピー付を含む) |
・ ファクシミリ機能のある通信機器 ・ ファクシミリ機能の使えるパソコンは含めない。 |
| ゴルフ用具一式 (ハーフセットも含む) |
・ ドライバー,アイアンがそろっているもの ・ ハーフセットも含める。 |
| 携帯電話(PHSを含む) | ・ 会社等から事業用に配布されたもの等は含めない。 |
10-3.所有数量
主要耐久消費財の1000世帯当たりの所有数量を表す。なお,所有数量の単位は,便宜上すべて「台」で表す。
10-4.普及率
当該主要耐久消費財を所有している世帯の割合をいう。
10-5.取得時期別所有数量
現在所有している主要耐久消費財を取得時期別に「過去1年以内」,「過去1〜5年以内」,「過去5年を超える時期」に区分したそれぞれの所有数量をいう。
11 購入先分類
商品の購入先は,平成16年11月の1か月間に限って,世帯で購入した品目について,品目ごとにその購入先を家計簿に記入する方法で調査した。なお,外食,家賃などのサービス費目や電気・ガス・水道などの公共料金等については調査を行っていない。
「購入先編」で用いた購入先の分類基準は下表のとおりである。
| 購入先の種類 | 分類基準 |
|---|---|
| 一般小売店 | スーパー,コンビニエンスストア,百貨店,生協・購買,ディスカウントストア・量販店以外の小売店(個人商店など)をいう。 |
| スーパー | 店舗面積が100平方メートル以上あり,食品,家事雑貨を中心に,各種の商品を,全売場面積の2分の1以上でセルフサービス方式を採用して販売する小売店をいう。 |
| コンビニエンスストア | 食品を中心に,家事雑貨,雑誌など各種最寄り品を取りそろえ,全売場面積の2分の1以上でセルフサービス方式を採用して販売しており,店舗規模が小さく,終日又は長時間営業を行う小売店をいう。 |
| 百貨店 | 衣・食・住にわたる各種の商品を主に対面販売により販売しており,常時50人以上の従業員のいる小売店をいう。 |
| 生協・購買 | 組合員の出資によってつくられている生活協同組合,農業協同組合や会社,官公庁等が職員のために設けている購買部をいう。 |
| ディスカウントストア・量販専門店 | 店頭商品を原則的に全品値引きして安い価格を売り物としている小売店,家電や紳士服などの量販専門店,主に医薬品や化粧品を販売しているドラッグストア,均一価格で多様な商品を販売する小売店をいう。 |
| 通信販売(インターネット) | インターネット上で注文を受け,商品を配送する販売形態をいう。 |
| 通信販売(その他) | 通信販売(インターネット)以外で,新聞・雑誌,ラジオ・テレビ,カタログ等で広告し,郵便,電話等で注文を受け,商品を配送する販売形態をいう。 |
| その他 | 上記以外の店,例えば,問屋,市場,駅・劇場等の売店,露店,行商及びリサイクルショップなどをいう。自動販売機もここに含める。 |
12 家計資産
12-1.家計資産額の評価の対象
家計資産の評価の対象は,金融資産(貯蓄現在高 - 負債現在高),住宅・宅地資産及び主要耐久消費財等とした。
12-2.金融資産
金融資産(貯蓄現在高 - 負債現在高)については,「9 貯蓄・負債現在高」参照。
12-3.実物資産
実物資産の対象は,以下に示すとおりである。
(1)住宅資産
- 持ち家世帯 : 現住居及び現住居以外で家計用に所有している住宅
- 借家・借間世帯 : 現住居以外で家計用に所有している住宅
(2)宅地資産
- 持ち家世帯 : 現居住地(借地を含む)及び現居住地以外で家計用に所有している宅地
- 借家・借間世帯 : 現居住地以外で家計用に所有している宅地
(注)宅地とは,登記簿上の宅地及び住宅を建てるために所有している土地
(3) 耐久消費財等
各調査世帯で保有している次に掲げる主要耐久消費財等
- 主要耐久消費財 : 原則として購入価格が1万円以上で,かつ耐用年数5年以上の品物
- 自動車等 : 自動車及びオートバイ・スクーター
- ゴルフ会員権等 : 時価又は購入価格が5万円以上のもの
なお,時価評価が困難な衣料,宝石・貴金属及び書画骨董品は,調査対象から除外している。
実物資産を金融換算する方法については,「家計の実物資産の価額評価方法」のページに示すとおりである。
13 計算式
13-1.可処分所得
実収入から税金,社会保険料などの非消費支出を差し引いた額で,いわゆる手取り収入のことである。
![]()
13-2.平均消費性向
可処分所得に対する消費支出の割合をいう。

13-3.金融資産純増率
可処分所得に対する金融資産純増〔(預貯金-預貯金引出)+(保険掛金-保険取金)+(有価証券購入-有価証券売却)〕の割合をいう。

13-4.平均貯蓄率
可処分所得に対する貯蓄純増〔(預貯金-預貯金引出)+(保険掛金-保険取金)〕の割合をいう。

13-5.エンゲル係数

13-6.当該収支のある世帯の割合

13-7.負債保有率

13-8.持ち家率

13-9.家賃・地代を支払っている世帯の割合

14 各種係数
1 ジニ係数(GC)
ローレンツ曲線(世帯を収入(注1)の低い方から順に並べ,横軸に世帯数の累積比率を,縦軸に収入(注1)の累積比率をとり,それを座標として描いた曲線)と対角線(均等分布線)で囲まれた弓形の面積と,均等分布線内全体の面積に占める割合をいう。
実際のジニ係数の計算に当たっては,以下に示すシンプソンの近似式を用いた。

なお,ジニ係数は,中所得層における所得分布の変化に比較的敏感である。
(注1): 貯蓄現在高,住宅・宅地資産額及び耐久消費財資産額についても,同様の方法により計算した。
2 平方変動係数(SCV)
収入の分散値を平均収入の二乗で除したものをいう。
なお,平方変動係数は,高所得層における所得分布の変化に比較的敏感である。
3 平均対数偏差(MLD)
平均収入の対数と各世帯員の収入の対数の差を求めたものをいう。

なお,平均対数偏差は,低所得層における所得分布の変化に比較的敏感である。
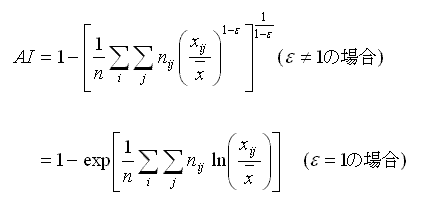
4 アトキンソン係数(AI)
所得格差を容認する度合いを考慮して算出する格差指標であり,平均収入に対して,各世帯員の均等分配所得(注2)がどの程度下回るか比率で求めたものをいう。

なお,アトキンソン係数は,分布の両極端の動きに比較的敏感に左右される。
(注2):実際に発生している所得分布を前提として,そこからどの程度の社会的厚生(社会全体の幸せ度)が得られるかを計算し,その社会的厚生を再現するためには,どれだけの所得を人々に均等に分配できるか逆算する。その所得を「均等分配所得」とする。
5 等価弾性値
調査自体は世帯を単位として実施しているが,個人間の所得分布をみるため,以下の方法により世帯単位の所得から個人単位の所得への変換を行った。

等価弾性値(E)は0〜1の値をとり,E=0のときは世帯所得がそのまま各世帯員の効用となり,E=1のときは世帯人員で除した所得が各世帯員の効用となる。
ここでは,E=0.5及び1のときのWの値について集計した。
その他の用語
黒字率
可処分所得に対する黒字(実収入と実支出の差,又は可処分所得と消費支出の差)の割合をいう。
増減率
特に注釈がない限り,平成11年から平成16年までの5年間の増減率である。
付録
| 付1 | 収支項目分類表 | (PDF:181KB) | (エクセル:727KB) |
|---|---|---|---|
| 付2 | 個人収支項目分類表 | (PDF:30KB) | (エクセル:68KB) |
| 付3 | 品目分類新旧対象表 | (PDF:60KB) | (エクセル:193KB) |
| 付4 | 教育関係費及び教養娯楽関係費分類項目一覧 | (PDF:16KB) | (エクセル:30KB) |
| 付5 | 全国消費実態調査職業分類表 | (PDF:19KB) | (エクセル:21KB) |
| 付6 | 全国消費実態調査産業分類表 | (PDF:21KB) | (エクセル:22KB) |
| 付7 | 調査世帯の選定方法と結果の推定式 | (PDF:44KB) | - |
| 付8 | 大都市圏に含まれる調査市町村 | (PDF:29KB) | (エクセル:71KB) |
| 付9 | 都道府県別調査市町村数及び世帯数一覧 | (PDF:22KB) | (エクセル:40KB) |
| 付10 | 調査市区町村別調査世帯数及び集計世帯数 | (PDF:186KB) | (エクセル:854KB) |
| 付11 | 全国消費実態調査規則 | (PDF:22KB) | - |
