ここから本文です。
消費者物価地域差指数の概要
1 消費者物価地域差指数の作成の範囲
消費者物価地域差指数は、都道府県庁所在市及び政令指定都市(川崎市、浜松市、堺市及び北九州市)の51市について、51市の平均を基準(=100)とした年平均の指数を作成する。
なお、作成する系列は、総合(持家の帰属家賃を除く)、食料及び家賃を除く総合の3系列である。
2 価格資料
指数計算に用いる価格資料は、原則として小売物価統計調査によって得られた小売価格である。
3 ウエイト
指数計算に用いるウエイトは、作成年における家計調査の全国平均1世帯当たり品目別消費支出金額であり、作成方法は消費者物価指数と同様である。
4 価格算式
51市別年平均価格の算出
51市別の品目別年平均価格は、上記価格資料を用いて1月から12月の価格を単純平均して算出する。月別の価格に「欠」がある場合には、価格のある月のみで計算する。
ただし、生鮮食品については各市の月別ウエイトで加重平均して算出する。
(生鮮食品以外)

(生鮮食品)

![]()
51市平均価格の算出
51市平均価格は、品目ごとに51市別の年平均価格を各市のウエイトで加重平均して算出する。

![]()
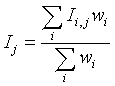
5 指数算式
品目別価格指数(51市平均=100)の算出
各市の年平均価格を51市平均価格で除して算出する。
類指数の算出
品目別価格指数を全国の品目別ウエイトで加重平均して算出する。
